Как узнать, кто это сделал. Ученые разгадали код Агаты Кристи

Фото: Getty Imades
Фото: Getty Imades

К 125-летию со дня рождения королевы детектива эксперты изучили методы, мотивы и локации в ее детективных историях, чтобы найти универсальный ключ к поимке убийцы

Почти 100 лет Агата Кристи интригует читателей тайнами, пишет журналист Харун Сиддик на сайте британской газеты Тhe Guardian. Но недавно группа экспертов заявила, что разработала универсальный метод, позволяющий находить ответ на вопрос, кто это сделал. В честь приближающегося 125-летия со дня рождения автора знаменитых детективов ученые создали формулу, которая, по их мнению, поможет читателю распознать убийцу до того, как это сделают Эркюль Пуаро или Мисс Джейн Марпл.

По заказу телеканала Drama ученые проанализировали 27 из 83 опубликованных произведений плодовитой писательницы. Эксперты пришли к выводу, что во всех случаях ключами к разгадке являются место действия, основной вид транспорта и обстоятельства смерти жертвы.

Відео дня

Один из исследователей, доктор Доминик Жанро из Королевского университета Белфаста, говорит, что исследователи давно задавались вопросом: использовала ли Кристи некие типовые сценарии. "Мы собрали данные, в том числе о том, сколько раз упоминается преступник в каждой главе, какая эмоциональная окраска у этих упоминаний, какой транспорт фигурирует в сюжете, а также учли взаимосвязь этих факторов с другими ключевыми составляющими романов, ― объясняет Жанро. ― В итоге мы выявили определенные закономерности, проявляющиеся в романах Кристи: тенденции удалось проследить, когда мы сгруппировали данные по году, по имени детектива, по полу преступника, по мотиву и причине смерти".

k ― личность убийцы
r ― его отношения с жертвой
δ ― вид транспорта, первично ассоциирующийся с романом
θ ― метод убийства и детектив, выведенный в романе
P ― Пуаро
M ― Марпл
c ― глава, в которой впервые появляется убийца
f ― женщина

"Мы также оценили, какую эмоциональную окраску носит первое упоминание о преступнике (с помощью программы Semantria, анализирующей тональность текста), чтобы узнать, какие словесные обороты Кристи использует, говоря об убийце. Оказалось, что она, например, применяет более негативную окраску, если преступник ― женщина, тогда как преступник-мужчина чаще описывается нейтрально или позитивно", ― говорит ученый.

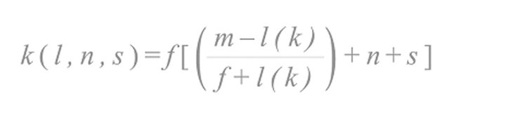
k ― личность убийцы
l ― тональность выражений, описывающих или связанных с убийцей
n ― количество упоминаний в романе
s ― место и время действия
M ― мужчина
F ― женщина

На пол убийцы указывают и другие признаки. Например, если жертва была задушена, убийца, скорее всего, мужчина (или мужчина с сообщницей-женщиной), а если действие разворачивается в загородном доме, что не редкость для романов Кристи, 75% вероятности, что убийца ― женщина. При этом преступницу зачастую выдает какой-то предмет домашнего обихода, тогда как найти преступника мужского пола помогают собранные сведения и логика.

Эркюль Пуаро главный литературный герой писательницы / Фото: Getty Imades

Другой участник исследовательской группы, Бретт Джейкоб, аналитик данных, дает читателю еще несколько подсказок ― например, советует обратить внимание на отношения между персонажами: в большинстве случаев жертва приходится убийце кровным родственником или супругом/супругой. Также важную роль играет основной вид транспорта, фигурирующий в романе: по словам Джейкоба, наземное средство передвижения ― машина или поезд ― указывает на то, что убийца ― женщина, а морской или воздушный транспорт говорит о том, что убийца ― мужчина. Метод убийства и личность детектива также могут определить пол преступника. "Собрав все это вместе, вы получите общее представление о личности злодея и, постепенно исключая из круга подозреваемых остальных персонажей, придете в итоге к наиболее вероятному претенденту на роль убийцы".

Источник: The Guardian
Перевод Катерины Богданович