Загадки человечества. Топ-5 необъяснимых явлений

Кумранские рукописи
Кумранские рукописи

Почему никто не может решить уравнения Навье — Стокса и перестать слушать Винника, а также сущность темной энергии, карта Пири-реиса и загадка коррупции в Украине

Ученые Университета Хайфы расшифровали один из последних найденных свитков Мертвого моря, так называемых Кумранских рукописей.

Из свитка, который исследователи собирали по фрагментам целый год, они смогли узнать больше о календаре, который использовала секта ессеев (иудейская секта, появившаяся в первой четверти II в. до н. э.).

Первые кумранские рукописи нашли бедуины в 1947 году на берегу Мертвого моря. Спустя время археологи обнаружили еще десять пещер, в которых хранилось хотя бы по одному древнему свитку.

Помимо свитков, в мире существует много всего нерасшифрованного и неразгаданного — в математике, физике и Украине.

Відео дня

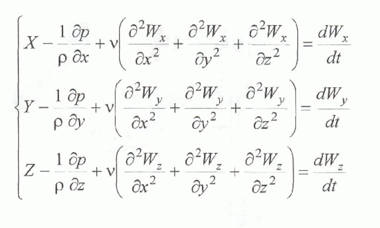
Уравнения Навье — Стокса

Это одна из семи задач тысячелетия (институт Клэя в США обещает миллион долларов за решение каждой из них). Уравнения Навье — Стокса — система дифференциальных уравнений в частных производных, описывающих движение вязкой ньютоновской жидкости. Что такое эта жидкость — отдельная тема, но, если упрощенно, она подчиняется в своем течении закону вязкого трения Ньютона. Уравнения Навье — Стокса используются в математическом моделировании многих прикладных задач физики. В частности, описывают типы турбулентных потоков в динамике газа и жидкости.

Единое решение уравнений Навье — Стокса ученые ищут примерно столько времени, сколько существуют сами уравнения. То есть с первой половины ХІХ века. Но пока безуспешно. В 2014 году казахстанский математик Мухтарбай Отелбаев заявил, что решил задачу, но в его работе были обнаружены пробелы. Позже Лауреат Филдсовской премии математик Теренс Тао опубликовал работу, которая доказывает невозможность решения задачи Навье — Стокса средствами, существующими в современной математике.

Сущность темной энергии

Темная энергия — гипотетический вид энергии. В математическую модель Вселенной она была введена для того, чтобы объяснить, почему Вселенная продолжает расширяться, несмотря на силу притяжения. Есть несколько вариантов объяснения сущности темной энергии, но все они — на уровне гипотез. Кстати, по одной из гипотез, темной энергии не существует, и Вселенная расширяется благодаря неизвестным свойствам гравитации. Кроме раздумий о темной энергии, ученые были бы не против узнать, что такое темная материя (да, это разные вещи) и черные дыры.

Успех Олега Винника в Украине

За последние пару месяцев на эту тему написано немало журналистских текстов. В них популярность автора "Нино" объясняется разными факторами — тоской женщин по Стасу Михайлову, склонностью поклонниц Винника одеваться так же ярко, как он, созвучностью украинской души текстам Винника. С последним пунктом все более-менее ясно, ведь никто не будет спорить со строчками: "Сильная женщина — жизни царица / С нежностью ангела, хваткой тигрицы. / В сильный характер непросто влюбиться. / Сильная женщина — вольная птица". Но это, как и в случае с темной материей, только гипотезы. Правды пока не знает никто.

Карта Пири-реиса

В 1929 году группа историков обнаружила странную карту, нарисованную на шкуре газели. После исследования выяснилось, что изображение сделал адмирал турецкого флота Пири-реис в 1513 году.

На карте Пири-реиса изображено западное побережье Африки, восточное побережье Южной Америки и северное побережье Антарктиды. Причем северная прибрежная линия Антарктики прекрасно детализирована. И вот здесь у исследователей возникают вопросы. Во-первых, Антарктида была открыта через 300 лет после появления карты, во-вторых, карта показывает линию побережья такой, какая она подо льдом. Но ледяной панцирь покрывает Антарктику минимум последние 6000 лет. Как Пири-реис мог нарисовать такую точную карту во время, когда сферическая тригонометрия еще не была изобретена и никто не знал размеров Земли и длины экватора, ученым непонятно.

Коррупция в Украине

В Индексе восприятия коррупции международной организации Transparency International за 2016 год Украина заняла 131-е место из 176 стран. В рейтинге отмечается, что украинские чиновники стали меньше пользоваться служебным положением. То же касается полиции и вооруженных сил. А вот в судах ситуация осталась той же, что и во времена Януковича. Причин, почему все так, может быть много: невозможность быстрых изменений, менталитет, генетическая память о Голодоморе у чиновников. Но единое решение этой проблемы, как и уравнений Навье — Стокса, еще не найдено.