Регулятор повысил цены на транспортировку газа: новые тарифы для областей (таблица)

тарифы, коммунальные, газ, доставка, транспортировака, НКРЭКУ
Фото: glavcom.ua

Стоимость услуги для "крайних" по показателям областей отличается почти в десять раз.

Нацкомиссия по госрегулированию в сферах энергетики и коммунальных услуг (НКРЭКУ) выложила у себя на сайте новые расценки на распределение газа для населения, которые были введены в действие с 1-го января нового года.

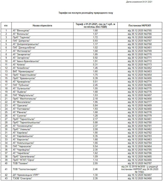
Так, согласно новому постановлению регулятора, самую высокую стоимость распределения и транспортировки газа назначили потребителям услуг винницкой компании "Газовик" – 2,55 грн за кубометр газа. Следом по спаду дороговизны услуги для потребителей идет еще одна винницкая компания "Газопостачсервис" – 2,46 грн за куб, и полтавский "Лубныгаз" – с 2,45 грн за кубометр голубого топлива.

Відео дня

В таблице указана тарификация по всем 43 облгазам и газораспределительным компаниям. Средняя стоимость доставки газа по стране составит 1,53 грн за кубический метр. При этом, все приведенные ниже тарифы указаны без учета налога на добавленную стоимость, который добавит к конечной цене еще 20%.

Тарифы, доставка газа, газораспределение, тарификация, коммунальные, коммуналка, облгаз
Источник: nerc.gov.ua

Одновременно, самый низкий тариф на транспортировку газа, по решению регулятора, заплатят потребители столичного "Киевгаза" – 0,31 грн за кубометр, а также потребители "Харьковгоргаза" – 0,35 грн за куб и "Кременчукгаза" – с 0,39 грн за кубометр. Судя по таблице, стоимость услуги для разных областей может отличаться в девять раз.

Таким образом с первого января тариф "Киевоблгаза" вырос с 0,81 грн до 1,45 грн за куб; "Киевгаза" – с 0,28 грн до 0,31 грн; "Одессагаза" – с 0,79 грн до 0,89 грн; "Полтавагаза" – с 1,09 грн до 1,93 грн; "Херсонгаза" – с 0,94 гривни до 1,68 гривни, и т.д. У многих областей тариф вырос в районе полутора раз, и продолжит свой рост, поскольку НКРЭКУ утвердила на 2021 год повышение тарифов для 20 облгазов из 22 имеющихся.

Напомним, это не единственное повышение тарифов, влияющее на конечную стоимость газа для населения. Так, на днях, буквально "под елочку" компания "Нафтогаз Украины" повысила стоимость газа на 14%. Недавно глава "Жилищного союза Украины" Александр Скубченко заявил, что новые коммунальные тарифы сделали Владимира Зеленского лидером антирейтинга 2020 года.