Идеальное предложение: сколько нужно потратить на кольцо, чтобы услышать заветное "да"

предложение, предложение руки и сердца
Математик назвал формулу идеального предложения руки и сердца | Фото: Shutterstock

Математик раскрыл формулу идеального предложения, чтобы в самый романтический день в году люди смогли задать тот самый вопрос и услышать утвердительный ответ.

День святого Валентина неумолимо приближается и даже ученые настроились на романтический лад: в прошлом году ученый рассказал, как математика может помочь в поисках любви, а в этом году исследователи пошли дальше — вывели формулу идеального предложения руки и сердца, чтобы непременно услышать заветное "да", пишет Daily Mail.

Статистика свидетельствует о том, что многие люди выбирают День святого Валентина в качестве того самого дня, чтобы задать "главный вопрос". В большинстве случаев люди выбирают отправиться в ресторан, однако учитывая рост стоимость ужина, многие могут задуматься над тем, чтобы приготовить романтический ужин дома.

Відео дня

У Фокус. Технологии появился свой Telegram-канал. Подписывайтесь, чтобы не пропускать самые свежие и захватывающие новости из мира науки!

В преддверии Дня всех влюбленных математик из Оксфордского университета, доктор Том Кроуфорд раскрыл формулу идеального предложения руки и сердца, которая существенно повышает шансы на успех. По мнению ученого, если следовать его сценарию, вы непременно получите наивысшие шансы на успех.

математика формула идеального предложения
Формула идеального предложения от математика
Фото: Asda

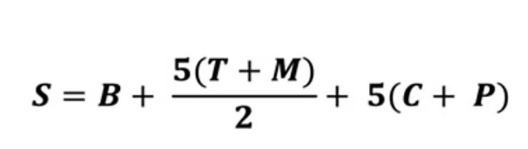
Формула математика основана на опросе Asda, в котором приняли участие 2000 человек. В ходе исследования ученый рассчитал "оценку предложения" (S) из 100 баллов, где 100 — максимальное значение, приближенное к "да". В основе успеха лежат четыре ключевых фактора, в том числе:

  • М — время трапезы;
  • Т — время предложения;
  • P — объем планирования;
  • С — стоимость обручального кольца.

Также есть и пятая бонусная переменная В — она оценивается от -50 до 20 баллов в зависимости от ряда событий, которые могут произойти во время самого романтического ужина. Опросив реципиентов доктор Кроуфорд наметил сценарий идеального романтического ужина и предложения, которые повысят шансы на успех:

  • трапезу стоит начать в 20:06;
  • само предложение стоит делать после основного блюда, но не во время десерта;
  • время планирования предложения должно составлять около 68 дней;
  • стоимость обручального кольца должна составлять 2,5 месячной зарплаты.

Кроме того, есть несколько дополнительных факторов, которые существенно поднимут шансы на успех:

  • +8 баллов — душевная речь, произнесенная во время предложения;
  • +7 баллов — романтическая обстановка с декоративным освещением и цветами;
  • +5 баллов — хороший саундтрек.

Также математик назвал несколько факторов, которые могут испортить впечатление и снизить шансы на успех, а именно:

  • -20 баллов — проверка своего телефона во время ужина;
  • -14 баллов — работа телевизора в фоновом режиме;
  • -10 баллов — сгоревший ужин;
  • -6 баллов — наличие детей в доме.

Доктор Кроуфорд уверен, что следуя этих нехитрым подсказкам, можно спланировать идеальное предложение руки и сердца и гарантированно услышать в ответ "да".

Ранее Фокус писал о том, что ученые рассказали, о чем свидетельствует зрительный контакт.