Украинцы лучше относятся к России, чем россияне к Украине, - опрос
57% украинцев хорошо или даже очень хорошо относятся к РФ
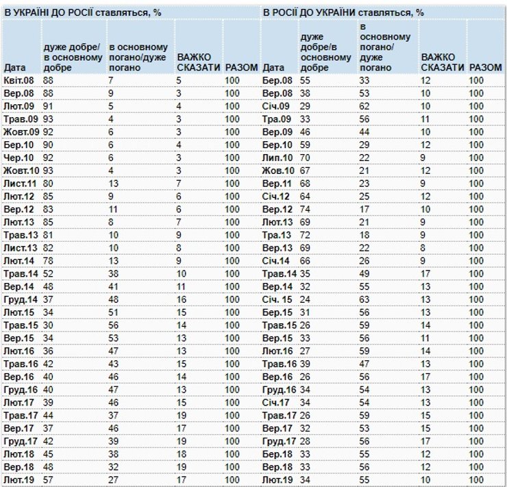
Количество украинцев, которые хорошо или очень хорошо относятся к России, в феврале выросло на 9 пунктов и составляет 57%.
Об этом сообщает свидетельствуют данные исследования Киевского международного института социологии.
"В Украине в феврале 2019 года хорошо или очень хорошо относилось к России 57% украинцев, плохо или очень плохо – 27%, 17% не определились, к россиянам (гражданам России) положительно относилось 77% украинцев, к руководству России – 13% (преимущественно за счет Востока и Донбасса)", - сказано в сообщении.
- ЧИТАЙТЕ ТАКЖЕ: Украинцы готовы пожертвовать отдыхом ради голосования, но не хотят стоять в очередях, - опрос
За весь период наблюдений (с 2008 по 2019 год) украинцы лучше относились к России, чем россияне к Украине.
"В феврале 2019 года в России хорошо или очень хорошо относилось к Украине 34% населения, плохо или очень плохо 55%, то есть сейчас украинцы намного лучше относятся к России, чем россияне к Украине", - сказано в сообщении.
Опрос КМИС проходил с 8 по 20 февраля. Методом личного интервью было опрошено 2042 респондентов, проживающих в 110 населенных пунктах всех регионов Украины (кроме АР Крым и оккупированных территорий Донбасса) в возрасте от 18 лет. Статистическая погрешность не превышает 3,3%.
На территории России опрос проводил "Левада-центр". В течение 15-20 февраля социологи опросили 1600 человек в возрасте 18 лет и старше в 137 населенных пунктах, 50 субъектах РФ. Статистическая погрешность не превышает 3,4%.
Как ранее сообщал Фокус:
- Во время недавнего опроса выяснилось, что 52% украинцев оказались подверженными стрессу.
- А половина жителей Донбасса продолжает винить украинскую власть в войне на востоке Украины.