"Приду к каждому": воин ВСУ из Донецка собрал имена участников "выборов" на ВОТ (список)

РФ оккупация, оккупированные территории Украины, РФ выборы, фейковые выборы в РФ, фейковые кандидаты РФ, выборы на оккупированных территориях, война РФ выборы
РФ проводит фейковые выборы на оккупированных территориях Украины | Фото: Telegram/Жовті стрічки

На временно оккупированной территории нашлось около тысячи человек, которые решили приобщиться к фейковым выборам РФ. Бывший житель Донецка пообещал, что по их адресам "пройдутся" патриоты Украины, когда вернутся в город.

Дончанин Виталий Овчаренко, который сейчас находится в рядах спецназовцев ВСУ, подготовил полный список лиц, принявших участие в фейковых выборах РФ. Российские власти пытаются привлечь граждан Украины к политической жизни страны-агрессора, создав якобы "избирательные участки". "Участки", впрочем, иногда взрываются по неизвестным причинам. Между тем украинец планирует воспользоваться списком "предателей" после победы Украины, — написал об этом в Telegram-канале.

Овчаренко заявил, что продолжает знакомить украинскую общественность с коллаборационистами, которые приняли участие в так называемых выборах. Указывает, что к составлению перечня присоединились активные украинцы. Предлагает ознакомиться с кандидатами в оккупационные органы власти.

Відео дня
"Ультрас" ФК "Шахтер" Овчаренко — о выборах на Донбассе
"Ультрас" ФК "Шахтер" Овчаренко — о выборах на Донбассе
Фото: Telegram / "Це Овчаренко"

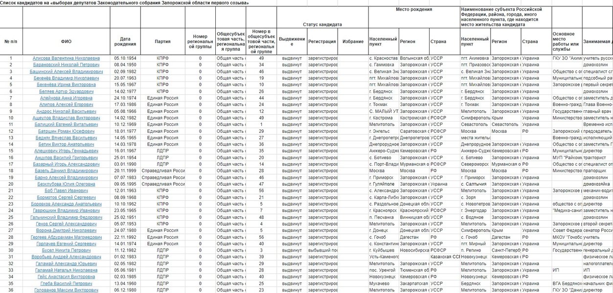
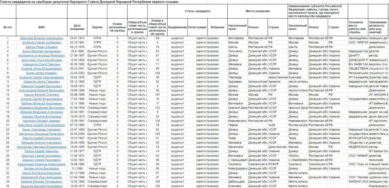
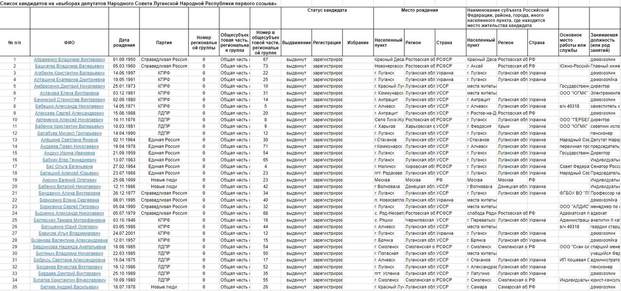
Список — это документ из четырех листов Exel — по количеству областей Украины, которые оккупировала Россия: Херсонская (всего 191 человек), Запорожская (220), Донецкая (577), Луганская (338). Стоит отметить, что кандидатов из Крыма там пока нет.

Ознакомившись с перечнем, можно заметить, что на оккупированной части Запорожской области нашлось 170 местных жителей, которые могут быть признаны коллаборационистами после соответствующего рассмотрения дела украинским судом. В Херсонской области таких лиц 159, в Донецкой — 412, в Луганской — 276. Как видим, на свежеоккупированных территориях Украины россияне собрали в 2-3 раза меньше желающих принять участие в выборах, чем на тех, где правят девятый год.

Между тем Виталий Овчаренко, который до вторжения РФ в 2014 году был "ультрас" ФК "Шахтер", а родился в Лимане, рассказал о своем видении деоккупации Донбасса. По его мнению, властям нужно прислушиваться к дончанам и луганчанам, которые являются верными украинцами. Если же вновь слушать других, то положительных изменений не будет.

"Но если власть будет снова мямлить, то снова будет болото. Опять сепары сядут на голову и начнут качать свои права", — уверен Виталий, и обещает наведаться к каждому коллаборационисту.

Война РФ в Украине: детали

Отметим, с 10 сентября российские власти пытаются провести фейковые выборы на временно оккупированных территориях Украины. Поскольку желающих присоединиться немного, то военные задерживают людей на пляжах Мариуполя и ведут к "избирательным участкам". Между тем один из таких участков в Бердянске ночью взлетел на воздух. Местные жители утверждают, что могли пострадать работники ФСБ РФ.

Кроме того, по словам мэра Мелитополя Ивана Федорова, партизаны добрались и до других мест "голосования". Например, взрывалось в Новой Каховке на Херсонщине и неподалеку от Энергодара в Запорожской области.

Между тем 18 августа в ГУР Минобороны, незадолго до начала выборов, показали удар дрона по кабинету, где проходило совещание российских силовиков. На видео от разведчиков видно, что устройство добралось до цели беспрепятственно.

Напоминаем, президент России Владимир Путин уверен, что армия РФ имеет достаточное количество живой силы. В частности заявил о постоянном потоке добровольцев, которые заключают договоры и идут на войну в Украину. Вопреки его заявлениям, украинские партизаны утверждают, что Россия не избежит всеобщей мобилизации: ее проведут вскоре после завершения так называемых выборов.