Ferrari и McLaren: какие элитные авто не подпадают под налог на роскошь в Украине (видео)

суперкары Украины, налог на роскошь, транспортный налог, транспортный налог
Многие суперкары не подпадают под налог на роскошь в Украине

Ряд дорогих моделей освобождены от налога на роскошь в Украине, поскольку их не внесли в список Минэкономики. Цена некоторых из них достигает 800 000 долларов.

Владельцы дорогих авто в Украине должны ежегодно платить транспортный налог. Впрочем оказывается, что часть элитных моделей стоимостью сотни тысяч долларов не подпадают под этот налог и их владельцы могут сэкономить. Об этом рассказали в сюжете BIHUS Info.

Налог на роскошь в Украине составляет 25 000 гривен в год. Он распространяется на автомобили в возрасте до 5 лет и стоимостью от 375 минимальных зарплат (в 2024 году это 2 662 500 гривен).

Ferrari SF90 Stradale продается в Украине за $800 000, но не подпадает под налог на роскошь
Ferrari SF90 Stradale продается в Украине за $800 000, но не подпадает под налог на роскошь
Фото: auto.ria.com

Хотя дорогие премиальные авто в Украине — не редкость, поступления в бюджет от транспортного налога не такие уж и большие — в 2023 году они составили 160 млн гривен.

Відео дня

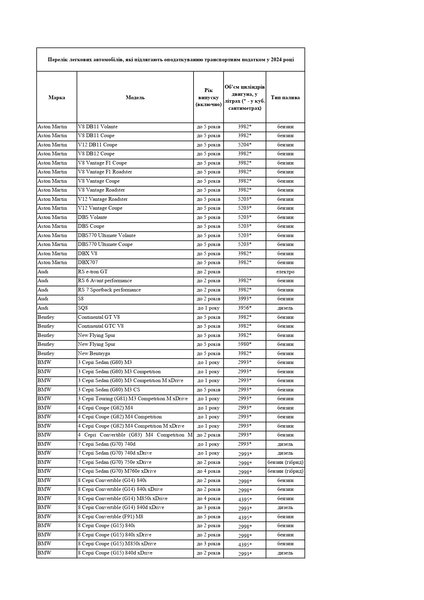
Дело в том, что налог на роскошь начисляется владельцам только тех дорогих авто, которые есть в специальном списке. Его ежегодно публикует Министерство экономики.

В этом году в списке 184 модели 13 марок и немало элитных авто просто отсутствуют в нем. Например, нет там Ferrari, стоимость которых в Украине иногда достигает 800 000 долларов. К примеру, итальянские суперкары есть у миллионера Александра Слобоженко и начальника юридического отдела ГП МОУ "Оборонавторемонтсервис" Валентина Слободянюка.

Важно
В Украине заметили редкие коллекционные спорткары BMW на автовозе (фото)
В Украине заметили редкие коллекционные спорткары BMW на автовозе (фото)

Еще два производителя суперкаров — Lamborghini и McLaren — также отсутствуют в этом списке. В 2023 году почему-то исчез из него Rolls-Royce, хотя на украинских дорогах появились новые авто этой марки. За рулем одного из них видели народного депутата Геннадия Вацака.

Исключили из списка Минэкономики и автомобили Alpina — серьезно доработанные BMW. Один из новых Alpina XB7 2023 года записан на фирму семьи Гринкевичей, которые являются фигурантами дела о поставках некачественной формы для ВСУ.

Не попали в список ряд моделей Mercedes-Benz, а также Rivian R1T, электрический Hummer или Chevrolet Corvette. Данные о некоторых авто внесены с ошибками: например, у Cadillac Escalade и Bentley неправильно указан объем двигателя, а Mercedes-Maybach написали с ошибкой — Mavbach.

Ранее Фокус сообщал, что в Украине предлагают существенно увеличить штрафы за отказ пропускать авто скорой помощи или полиции.

Также мы писали о заброшенном автосалоне с новенькими суперкарами.