Підтримайте нас

МИ В СОЦМЕРЕЖАХ:

Задовго до Ньютона та Галілея. Леонардо да Вінчі досліджував гравітацію як форму прискорення

дослідження, історія, гравітація, записи
Леонардо да Вінчі, знаменитий вчений та архітектор, розробив експерименти, щоб продемонструвати, що гравітація є формою прискорення | Фото: biography.com

Інженери з Каліфорнійського технологічного інституту виявили, що розуміння гравітації Леонардо да Вінчі — хоч і не зовсім точне — на століття випередило його час.

У статті, опублікованій в журналі Leonardo, дослідники, по-новому поглянувши на один із записників да Вінчі, показують, що знаменитий вчений та архітектор розробив експерименти, щоб продемонструвати, що гравітація є формою прискорення. Окрім цього, він також змоделював гравітаційну константу з точністю близько 97 відсотків, пише Caltech.

У Фокус.Технології з'явився свій Telegram-канал. Підписуйтесь, щоб не пропускати найсвіжіші та найцікавіші новини зі світу науки!

дослідження, історія, гравітація, записи
Да Вінчі, який жив з 1452 по 1519 рік, був далеко попереду у вивченні цих концепцій
Фото: Caltech

Да Вінчі, який жив з 1452 по 1519 рік, був далеко попереду у вивченні цих концепцій. Лише у 1604 році Галілео Галілей висунув теорію про те, що відстань, яку долає об'єкт під час падіння, пропорційна квадрату часу, що минув. І лише наприкінці 17 століття сер Ісаак Ньютон розвинув цю теорію, розробивши Закон всесвітнього тяжіння, який описує, як об'єкти притягуються один до одного. Основною перешкодою для да Вінчі була обмеженість інструментів, які він мав у своєму розпорядженні. Наприклад, йому не вистачало засобів для точного вимірювання часу під час падіння об'єктів.

Відео дня

Експерименти да Вінчі вперше помітив Морі Гаріб, професор аеронавтики та медичної інженерії Ганса В. Ліпмана, в "Кодексі Арунделя" — збірці робіт да Вінчі, які охоплюють науку, мистецтво та особисті теми. На початку 2017 року Гаріб досліджував техніку візуалізації потоку да Вінчі, щоб обговорити її зі студентами, яких він навчав на аспірантському курсі, коли помітив серію ескізів із зображенням трикутників, утворених піскоподібними частинками, що висипаються з банки, у нещодавно виданому Codex Arundel, який можна переглянути онлайн завдяки Британській бібліотеці.

"Привернуло мою увагу те, що він написав "Equatione di Moti" на гіпотенузі одного з намальованих ним трикутників — рівнобедреного прямокутного трикутника, — розповідає Гаріб, провідний автор статті про Леонардо. — Мені стало цікаво дізнатися, що Леонардо мав на увазі під цією фразою".

Над аналізом нотаток Гаріб працював з колегами Крісом Ро, на той час докторантом Каліфорнійського технологічного інституту, а нині доцентом Корнельського університету, а також Флавіо Нока з Університету прикладних наук і мистецтв Західної Швейцарії в Женеві. Нока надав переклади італійських нотаток да Вінчі (написаних його знаменитим лівостороннім дзеркальним письмом, що читається справа наліво), коли трійця працювала над схемами рукопису.

У записах да Вінчі описує експеримент, в якому глечик з водою рухався по прямій, паралельній землі, виливаючи по дорозі або воду, або зернистий матеріал (найімовірніше, пісок). З його записів зрозуміло, що він знав, що вода чи пісок не падатимуть з постійною швидкістю, а прискорюватимуться, а також, що матеріал перестане прискорюватися в горизонтальній площині, оскільки на нього більше не впливає глечик, і що його прискорення відбувається лише вниз під дією сили тяжіння.

Якщо глечик рухається з постійною швидкістю, лінія, утворена матеріалом під час падіння, є вертикальною, тому трикутник не утворюється. Якщо глечик прискорюється з постійною швидкістю, лінія, створена матеріалом під час падіння, утворює пряму, але похилу лінію, яка зі свого боку потім утворює трикутник. І, як зазначив да Вінчі на ключовій діаграмі, якщо рух глечика прискорюється з тією ж швидкістю, з якою сила тяжіння прискорює матеріал під час падіння, то утворюється рівносторонній трикутник — саме це спочатку помітив Гаріб, що да Вінчі виділив приміткою "Equatione di Moti", або "вирівнювання (еквівалентність) рухів".

дослідження, історія, гравітація, записи
Да Вінчі прагнув математично описати це прискорення
Фото: Caltech

Да Вінчі прагнув математично описати це прискорення. Саме тут, на думку авторів дослідження, він не зовсім влучив у ціль. Щоб дослідити процес да Вінчі, команда використала комп'ютерне моделювання для проведення його експерименту з вазою для води. Це дозволило виявити помилку да Вінчі.

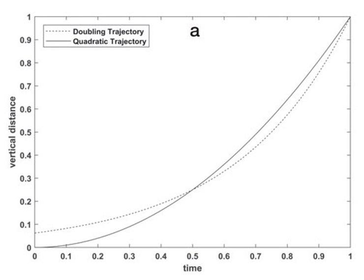
"Ми побачили, що Леонардо боровся з цим, але він змоделював це так, що відстань падіння об'єкта була пропорційна 2 в ступені t [де t — час], а не пропорційна t в квадраті, — каже Ро. — Це неправильно, але пізніше ми з'ясували, що він використовував це неправильне рівняння у правильний спосіб".

У своїх нотатках да Вінчі проілюстрував об'єкт під час падіння протягом чотирьох інтервалів часу — періоду, протягом якого графіки обох типів рівнянь збігаються.

"Ми не знаємо, чи проводив да Вінчі подальші експерименти, чи досліджував це питання глибше, — каже Гаріб. — Але той факт, що він намагався розв'язати цю проблему у таки спосіб — на початку 1500-х років — демонструє, наскільки далеко вперед пішло його мислення".

Раніше Фокус писав, що Ньютон міг помилятися. Астрономічні спостереження вказали на альтернативну теорію гравітації.